딥러닝 알고리즘의 종류와 활용되고 있는 분야에 대해 알아보도록 하자.
목차
1) 심층 신경망 (DNN, Deep Neural Network)
2) 합성곱 신경망 (CNN, Convolutional Neural Network)
3) 순환 신경망 (RNN, Recurrent Neural Network)
4) 제한적 볼츠만 머신 (RBM, Restricted Boltzmann Machine)
5) 심층 신뢰 신경망 (DBN, Deep Belief Network)
6) 생성적 적대 신경망 (GAN, Generative Adversarial Network)
1) 심층 신경망 (DNN, Deep Neural Network)
심층 신경망은 입력층과 출력층 사이에 여러 가지의 은닉층이 존재하는 인공신경망이다. 다중 은닉층으로 인해 다양한 비선형적인 관계에 대한 학습이 가능하다. 하지만, 학습을 위한 연산량이 많아 과하게 학습하여 실제 데이터에 오차가 증가하는 과적합이 생실 수 있다. 또한 1 이하의 계수를 다단의 계층으로 곱하다 보면 값이 0에 가까워지는 기울기 값 소실 문제 등이 발생할 수 있다.

2) 합성곱 신경망 (CNN, Convolutional Neural Network)
합성곱 신경망(CNN)은 영상분석과 영상 인식에 자주 사용되고 있는 딥러닝의 한 종류이다. 동물의 시신경 구조와 유사하레 뉴런 사이의 연결 패턴을 형성하는 모델이며, 특징 지도(Feature Map)를 활용하여 학습하는 특징이 있다. 영상 인식 이외에도 컴퓨터 비전과 같은 분야에서도 좋은 결과를 내고 있다. 여기서 특징 지도는 필터링의 결과로 나타나는 이미지를 의미한다.

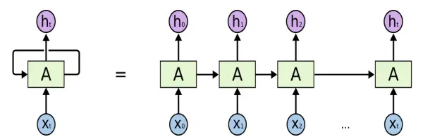
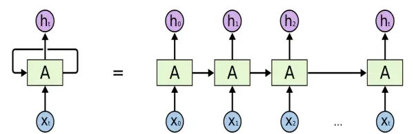
3) 순환 신경망 (RNN, Recurrent Neural Network)
순환 신경망(RNN)은 순차적인 정보가 담긴 데이터에서 규칙적인 패턴과 추상화된 정보를 찾는데 유리하다. 노드 간의 연결이 순환적인 구조를 가지고 있으며, 시간에 따라 변하는 특징을 가진 데이터를 분석하는데 유용하다. 따라서, 음악, 작사, 작곡, 언어 번역등에 활용될 수 있다.

4) 제한적 볼츠만 머신 (RBM, Restricted Boltzmann Machine)
제한적 볼츠만 머신(RBM) 신경망은 딥러닝의 시초인 힌튼 교수가 제안한 모델로 지도가 필요 없는 학습에 활용된다. 입력 집합에 대한 확률적인 분포를 학습할 수 있는 신경망이다. 에너지 함수 형태로 되어 있으며, 에너지가 최소가 되는 방향으로 학습을 진행한다. 제한적 볼츠만 머신은 자체적으로 사용도 가능하지만, 스스로 규칙을 찾아내는 비지도학습 (Unsupervised Learning basics)이 가능하기 때문에, 다른 심층 신경망의 학습을 돕기 위한 용도로 많이 사용되고 있다. 분류, 차원 축소, 필터링 등에 활용이 가능하며 선형 회귀 분석에 사용되고 있다.

5) 심층 신뢰 신경망 (DBN, Deep Belief Network)
심층 신뢰 신경망(DBN)이란 입력층과 은닉층으로 구성된 RBM을 블록과도 같이 여러 층으로 쌓아 올린 형태의 신경망이다. 미리 준비된 제한적 볼츠만 머신(RBM)을 층층이 쌓아 만들어진 구조이다. 비지도 학습이 가능하며, 부분적인 이미지에서 전체를 연상하는 일반화 과정에 활용할 수 있다.

6) 생성적 적대 신경망 (GAN, Generative Adversarial Network)
생성적 적대 신경망(GAN)은 판별기와 생성기 두 가지 데이터를 두고 서로 대립시켜 학습시키는 신경망이다. 진짜 같은 가짜를 만드는 생성기와 이에 대한 진위를 판단하는 판별기 모델을 경쟁시켜 진짜 같은 가짜 이미지를 생성할 수 있는 방법이다. 학습된 패턴을 이용하여 영상과 음성의 생성과 복원이 가능한 모델이다. 컴튜터 게임, 패션, 광고 등에 사용할 수 있다.

생성적 적대 신경망의 발명을 포함하여 딥러닝 분야에서 큰 공헌을 한 이안 굿펠로우(Ian Goodfellow)는 경찰과 위조지폐법 사이의 게임에 비유하여 GAN 모델을 성명하였다. 위조지폐범(생성기)은 최대한 진짜 같은 위조화폐를 만들어 경찰을 속이고자 한다. 경찰(판별기)은 진짜화폐와 가짜 화폐를 판별하여 위조지폐를 검거하는 것을 목표로 한다. 경쟁적으로 두 모델이 대립하게 되면 생성기는 진짜와 거의 같은 위조지폐를 만들 수 있고 판별기도 판별 능력이 우수해진다.
7) 심층 Q-네트워크 (Deep Q-Networks)
심층 Q-네트워크는 강화학습을 위한 최신의 딥러닝 모델이다. 행동심리학에 영감을 받은 모델로 주어진 환경에서 정의된 에이전트가 현상의 상태를 인식하여, 선택 가능한 행동들 중 보상을 최대화하는 행동 또는 행동의 순서를 선택하는 방법이다. 제어이론, 운용과학, 정보이론, 게임이론, 해석기반 최적화, 다중 에이전트 시스템, 통계학, 유전 알고리즘 등에서 연구되고 있다.

딥러닝 알고리즘은 계속 발전되어 왔으며, 다양한 분야에서 활용되고 있다.
관련글 - [Learn/과학공학기술] - 딥러닝 - 인공지능의 핵심 기술
딥러닝 - 인공지능의 핵심 기술
목차 딥러닝 (Deep learning) 이란? 딥러닝의 기본 구조, 퍼셉트론이란? 딥러닝의 학습 원리 딥러닝과 일반 소프트 웨어의 차이 딥러닝의 활용 사례 딥러닝 (Deep learning) 이란? 딥러닝은 기계학습(Machin
engineer-daddy.co.kr
'Learn > 과학공학기술' 카테고리의 다른 글
| 무선전력전송 기술 방식 비교 (1) | 2024.03.18 |
|---|---|
| 딥러닝 프레임워크의 종류와 특징 및 선택가이드 제시 (0) | 2024.03.17 |
| 딥러닝 - 인공지능의 핵심 기술 (0) | 2024.03.15 |
| 사물 인터넷(IoT) 관련 일자리 및 필요 역량 (0) | 2024.03.13 |
| 초전도체의 분류 (0) | 2024.03.12 |